鄭先生被安排至隔離中心接受隔離。
報導:藍子鑫
(由受訪者提供照片)
(新山4日訊)原本14天的隔離期,加碼至47天!馬勞被困新加坡隔離,原本接獲書面通知僅隔離14天,但直至第47天才被“放行”。
來自霹雳州怡保,目前在新加坡從事餐飲業的鄭先生(31歲),與另6名職員居住在新加坡宏茂橋的組屋單位,但4月份期間,其中兩名室友患上新冠肺炎(2019冠狀病毒),所有人必須隔離。
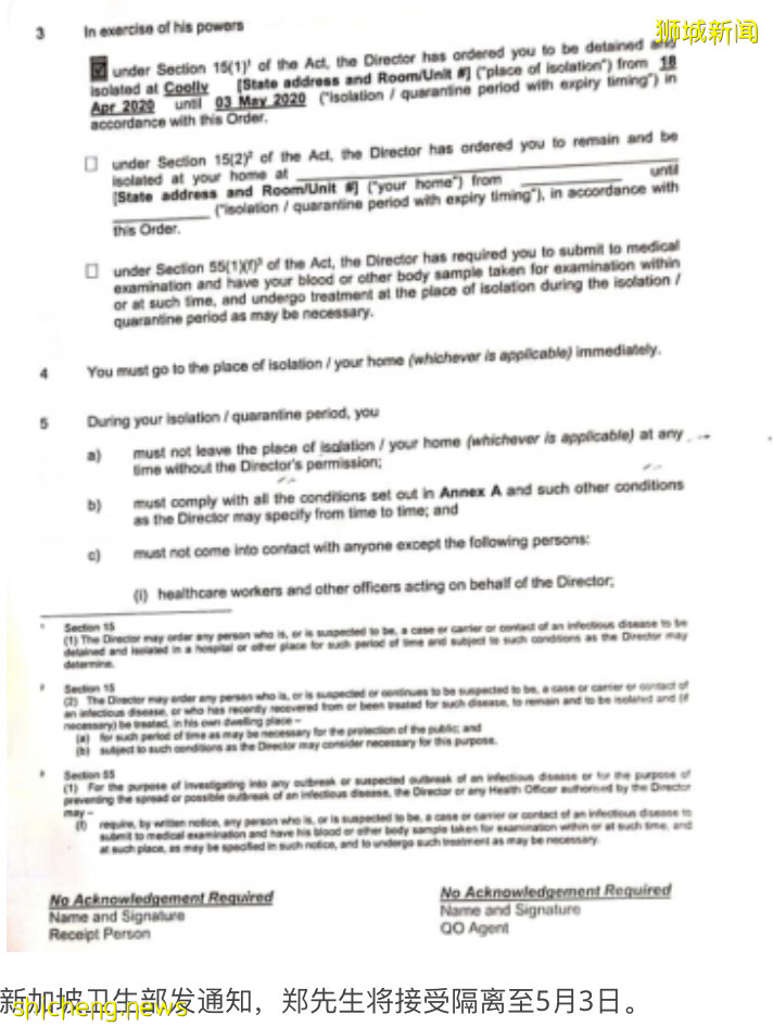
鄭先生先後兩次接獲新加坡衛生部所發出的隔離令。
鄭先生今日接受《中國報》越洋電話訪問時說,他與另4名室友獲新加坡衛生部安排,從4月19日開始,到新加坡巴西班讓的隔離中心接受隔離。
他坦言,一開始僅接獲通知,將被隔離至4月30日,隔離不足14天,詢問衛生部官員,也一知半解,之後再次接獲通知,延長隔離期至5月3日。
“隨後再也沒有收到任何消息,也沒有任何書面通知,直至今時今日,已在隔離中心47天。”
鄭先生先後兩次接獲新加坡衛生部所發出的隔離令。
他說,他了解病毒的威脅性,並全面配合衛生部,雖然當局每日提供三餐及個人住宿,但他直言:“講難聽一點就是被軟禁”。
“另4名同事,其中兩人結束隔離回到霹雳州美羅,剩下我和另兩人還在隔離,而確診的兩名同事,一個還在隔離,另一個已結束隔離。”
鄭先生指出,他在隔離期間也接受新冠肺炎檢測,皆呈陰性反應,但官員僅口頭告知檢測結果,未給予任何的書面通知,直至今日被隔離第47天,他才被“放行”。
他說,今日傍晚已接獲通知,將結束隔離期,但他希望能夠獲當局關注,協助其他還在“無限期隔離”的人士。
新加坡衛生部發通知,鄭先生將接受隔離至5月3日。
隔離期間向李顯龍求助
鄭先生被隔離47天期間,向各方尋求援助,甚至通過面子書向新加坡總理李顯龍尋求幫助。
他指出,隨後接獲相信是新加坡總理李顯龍的助理回複,要求他留下聯絡號碼,並將進一步跟進。
“我前後也找了許多單位詢問,包括新加坡衛生部、人力資源部、馬來西亞駐新加坡大使館、警方等單位,但一無所獲。”
他指出,前後也向衛生部提交了5次的資料。
他說,遠在怡保的家人心急如焚,協助他到處詢問,直至周四獲准結束隔離,讓家人放下心頭大石。
隔離中心人員態度不佳
隔離中心的工作人員態度不佳,鄭先生直言做法不人道。
鄭先生聲稱,隔離期間,不能隨意從房間走出去,一旦被發現,便會被責罵,甚至比隔離者還要凶。
“理解工作人員的擔憂,也做足防疫措施,但我覺得這樣的做法非常不人道。”
來源:https://www.shicheng.news



