編者按:《新加坡眼》APP網友xy/sun分享了非新加坡公民和PR,如何進入新加坡的詳細流程。供大家進行參考。
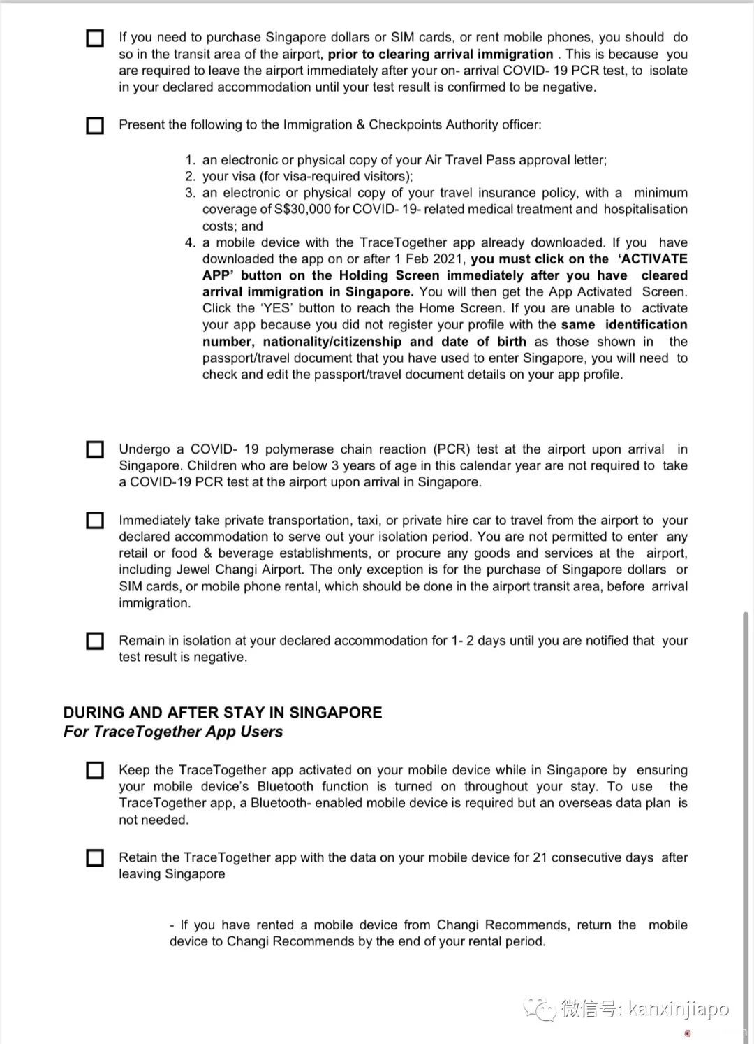
網友原文如下:以下只針對持簽證的,不針對新加坡公民和pr。公民和pr不需要提前申請ATP。不用買保險。落地檢測後,不用去酒店,而是直接可以回家。 第一步就是要先申請ATP(航空入境許可)。不需要先買機票,需要知道你要哪天飛,申請時要填入境日期。如果批准了,允許入境日期段,是所填日期再往後加7天。基本就是1. 申請ATP ,批准信拿到後(等兩到三天),買機票 2. 買保險 3.沒有新加坡本地電話卡的,要麽晚上買好,落地去取,要麽直接落地買。落地新加坡有裝好app。 4.落地新加坡機場,立即需要核酸檢測。要麽網上提前繳好費,要麽落地繳。 5.預訂一晚酒店(機場直接去酒店,等待核酸報告) 6.落地第二天核酸報告沒問題,回家。 以下貼的出發前的檢查清單,供參考
如果大家希望了解更多關于進入新加坡的信息內容,可以掃碼進群咨詢交流。





