最近UOL旗下三個樓盤都給紅包促銷
ASR紅包力度最大
去年UOL買紅毛橋的地買到1118psf讓市場一片躁動
現在所有東西都在漲價
連土也一樣
標的地價不打破記錄都不好意思
一塊才建370個單位的小地塊
居然15家開發商來搶,開家都蠻高
最近Jalan Tembusu的低開標
也創下周邊99年最高價,CDL以1302psf拿下
爲何這些大地主們這麽饑渴
居然在高警戒階段蹲家裏還來搶地呢
因爲沒啥庫存賣了,也許員工們擔心失業
搶塊地來有工作,否則這年頭失業了幹嘛呢
去做地産中介?現在考試也停了,遙遙無期
庫存不多,所以政府丟出一塊肉
所有開發商都擠破頭來搶
券商也對UOL搶到表示歡迎
還吹捧它solid execution
股票那幾天還漲了點,雖然還是地上爬行狀態
UOL的資産看起來蠻多的
家族支持和老爸很厲害
南峰雅苑的地價是1138psf,離市區很近,算是比較劃算的,我也注意到這個開發商可能比較相信吉利數字,幾個招標價格尾數都是8,Clavon是788psf,這個紅毛橋的是1108psf,莫非券商看地價尾數是8也覺得項目會大賺。
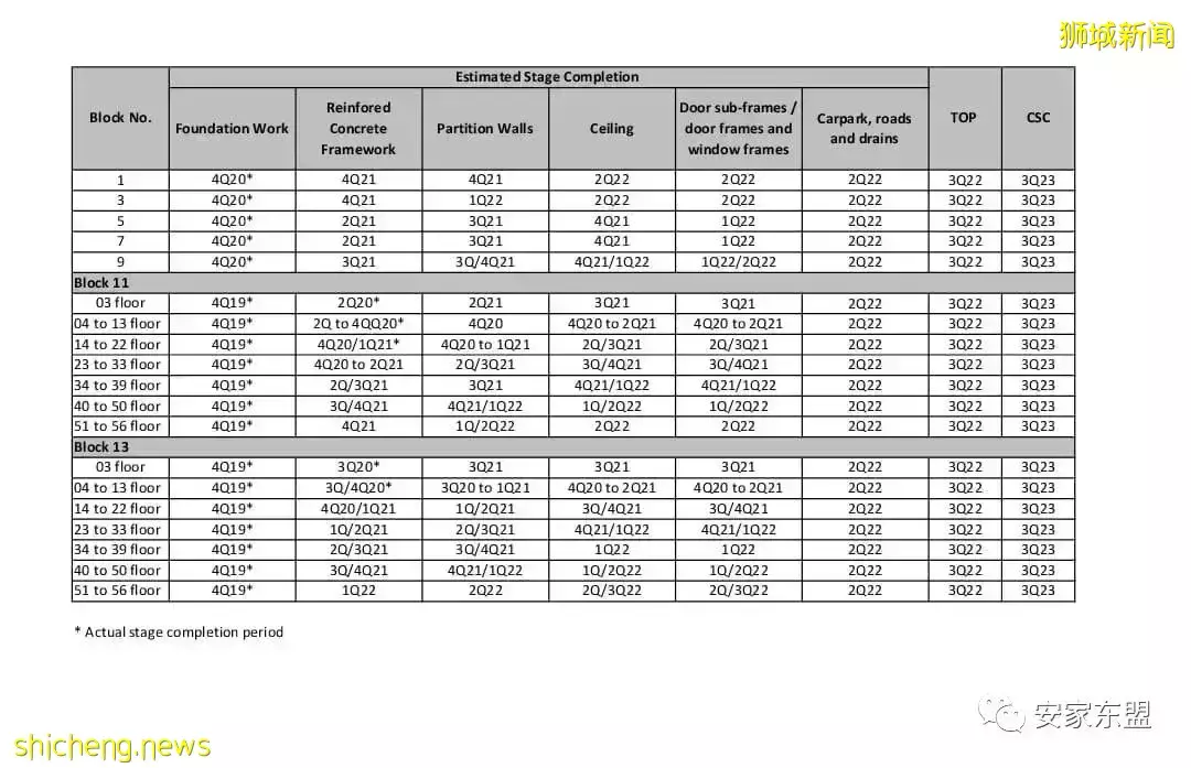
ASR因爲采用PPVC的建造方法,受疫情影響小,今年4季度就可以交房,大家可以少租一段時間,節約租金,也算是讓我松了一口氣,本來擔心Delay的。
最近也賣得很快,幾乎每天都有單位賣出,因爲相對別處這邊太便宜了
有興趣的朋友需要抓緊,這是項目視頻
Project Fly Through
二月份居然賣掉這麽多
🧧
Avenue South Residence 🧧
Sales Update 20/02/2022
For Pricing Pls check PRO
1️⃣BR fr $1.253mil(#49-34)
2️⃣BR fr $1.511mil(#44-33)
3️⃣BR fr $2.214mil(#52-36)
4️⃣BR fr $2.790mil (#03-37)
Pending TT
🤝 JUST SOLD 🤝
#51-34(1BR Peak)
#41-29(1BR Peak)
#54-32(2BR P Peak)
#45-29(1BR Peak)
#45-33(2BR Peak)
#41-28(2BR Peak)
#28-37(4BR)
#51-40(2BR Peak)
#31-37(4BRP)
#50-40(2BR Peak)
#42-40(2BR Peak)
#52-41(3BR P Peak)
#47-37(4BRP Peak)
#49-32(2BR P Peak)
#52-32(2BR P Peak)
#53-27(3BR P Peak)
#51-45(2BR Peak)
#47-45(2BR Peak)
#46-39(1BR Peak)
#49-37( 4BR Peak)
#55-29(1BR Peak)
#51-41(3BRP Peak)
想要看低層的朋友找我拿信息
許多相鄰樓層一個價,一出就賣掉不少,這是各個戶型的Starbuy,價位已經不是之前價格了
Peak Collection 很漂亮
這個房子建很快,快封頂了
1月22日從花柏山這邊看ASR是這樣的
Avenue South Residence南邊景色
北邊景色
這是我賣得比較多的樓盤,主要是樣板房之前在紅山離家近
1. 南部瀕水區
新加坡政府是一個執行力超強的政府,目前疫情下有針對性地給公司和個人這麽多補助,沒侵犯人權又讓大家有條不紋地工作和生活,雖然這次讓我們看到了政府有點輕敵也在口罩問題上有點反應慢了,但很快就反應過來不妨礙高效政府的美稱。大家也許記得之前我發的Marina Bay 50年變化對比的照片,讓我們也有期待南部瓶水瀕水區未來的變化。
新加坡總理李顯龍在2019年8月18日發表的國慶大會講中,進一步闡述了在2013年首次發布的南部瀕水地區(GSW)項目,並在2019年市建局總體規劃裏進一步擴充:“GSW標志著新加坡房地産開發的新篇章,爲開發商、企業、投資者和購房者帶來重大機遇”。“該計劃將重新定義和加強現有的次級市場,創建新的次級市場,爲購房者提供新的地點、不同的氛圍和生活方式。”
騰籠換鳥
從新加坡濱海灣花園到Pasir Panjang, GSW將橫跨南部海岸線30公裏,占地2000公頃,是濱海灣面積的6倍,Punggol面積的兩倍。它包括港務集團(PSA)在丹戎帕格爾(Tanjong Pagar)、吉寶和布拉納(Brain)的城市碼頭,這些碼頭將2027年搬遷到Tuas; Pasir Panjang碼頭將在2040年前搬遷到Tuas港口。
聖淘沙和布拉尼島
政府還將聖淘沙北部的布拉尼島指定爲旅遊景點,計劃在該島建設類似于環球影城(Universal Studios)的旅遊景點。李總理說,聖淘沙的海濱地區將擴建。
目前,聖淘沙島的擴建計劃已在進行中。這將會在今年年底開一個新的生活方式地區,名爲Siloso Green,它,將擁有263716平方英尺的面積。這個地區將會接管由海底世界(Underwater World)在2016年騰出的空間,並且將會呈現一個貨櫃主題的地方,這裏會有酒吧、食品卡車及在一個開放空間的現場音樂場。
聖淘沙名勝世界(Resorts World Sentosa)還計劃建設占地177萬平方英尺的新景點,將于2020年起陸續推出,並在2025年左右竣工。耗資$45億的開發項目將包括兩個新的主題景點,超級任天堂世界和小黃人公園,後者將取代現有的馬達加斯加區。
與此同時,S.E.A. Aquarium將擴建爲新加坡海洋館(Singapore Oceanarium),其規模將是目前的三倍。此外,兩家新酒店也在規劃之中,它們的客房容量約爲1100間。
更多中央商務區邊緣辦公空間
GSW也是一個新興的商業集群,位于邊緣地帶,像谷歌、聯合利華和思科這樣的跨國公司已經在這裏落戶。爲此,政府計劃在GSW推出更多的辦公中心,旨在創造白天和的活。“人們可以在他們居附近工作,也可以住在他們工作附近”李總理說。他補充說,發展更多的商業中心,如豐樹商業城,將爲該地區帶來更多的就業機會。
豐樹商業城位于Pasir Panjang,涵蓋四個甲級寫字樓,預計淨出租面積爲170萬平方英尺。這是一個綜合用途的開發項目,包括餐飲門店、多功能大廳和會議設施、帶熱水池的健身房、一家便利店、一家托兒中心、一家診所和一家自助洗衣店。該中心還擁有廣闊的公共空間郁郁蔥蔥的綠色植物一個生態池塘藝術裝置連接附近公園和公共運輸的設施。
中央總醫院升級
美國《新聞周刊》和著名市場調查及消費者數據公司Statista合作推出全球十大最佳醫院榜單。新加坡中央醫院獲評選爲全球十大最佳醫院的第三名。
這個醫院也在20年計劃的升級之中,未來提供的工作機會越來越多,紅利會緩慢釋放。
2. 樓盤比較
介紹了GSW,就是推樓盤了,這一片其實沾邊的樓盤不多,在附近的有這些:
Corals at Keppel Bay:擁有366套單位的2016年完工的吉寶灣麗珊景,成交價格從每平方英尺$2,100到$2,400不等。毗鄰麗珊景的是一個新項目,這項目位于吉寶灣,擁有429套單位,預計將在未來啓動。其實這邊以前是我前公司的船廠,後來給了地産部門建房子。
Marina One Residence: 這是最近的網紅盤,3個中國人花了1個億人民幣沒實地看房就買了6個單位。于2017年完工,在2020年的售價爲每平方英尺$2,400到$2,500。因此,濱海灣和吉寶灣類似的99年租賃期公寓之間存在10%至20%的價差。
Kent Ridge Hill Residences:這是對原Vista Park公寓的重新開發,它坐落在占地446951平方英尺、租期99年的地塊上。新項目將有498套公寓和50分層住宅。Kent Ridge Hill Residences的公寓售價爲每平方英尺$1,700-1,900。
Sky Everton:去年6月底推出,262套單位的永久産權。約80%的公寓已經被出。根據向市建局提呈的備案顯示,平均售價爲每平方尺$2,546。
One Pearl Bank:凱德置地去年7月推出的774套中單位小區。這租賃期爲99年的公寓是對原珍珠銀行(Pearl Bank)公寓的重新開發。根據提呈的備案,到目前爲止,每平方英尺的平均售價約爲$2,400。
附近二手房樓盤的價格,其實不便宜
租金也蠻高
雖然南部好盤很多,我目前最看好的還是南峰雅苑。
3. 南峰雅苑位置和特點
南峰雅苑(Avenue South Residence,簡稱ASR)位于第D03郵區的歐南園區,屬于新加坡市區邊緣RCR區,也是距離市區最近的地段,就在GSW邊上。
公寓坐落在石叻道(Silat Avenue)和甘榜巴魯路(Kampong Bahru Road)的交界處,靠近甘榜巴魯鐵道走廊(Rail Corridor),是與走廊協同發展的一部分。
ASR由3家本地著名的開發商華業集團(UOL Group),聯合工業有限公司和慶隆公司)聯合開發,由UOL占主要股份。
2棟高樓高聳入雲
將建造2棟56層樓高摩天大樓和5棟4層樓高的保留建築。建築物的最高處距離平均海平面高出200米,跟華麗世家一個感覺,但是尺價便宜1500psf,兩個也挨蠻近的。
南峰雅苑單位共分爲三個類別,包括378套第37至56層的Peak Collection、610套第3至35層的Horizon Collection,以及86套保留建築內的Heritage Collection,Heritage collection已經賣完。
公寓提供1,074套私宅單位,6間商鋪和1間托兒所。
戶型包括242套一臥室、502套兩臥室、220套三臥室、102套四臥室和8套閣樓單元,單位面積介于44-155平方米(527-1,668平方尺)。
屬大型綜合項目,設施多樣化,配備幼兒園;
公寓附近交通方便,並提供前往歐南園地鐵站的穿梭巴士服務。
年輕媽媽關心幼兒園,而公寓附近1公裏範圍內就有5所幼兒園,2公裏範圍內還有另外5所,公寓內也將建造一間幼兒園,讓媽媽們有足夠多的選擇。小學則被認爲是至關重要的,因爲許多小學名額是按居住距離分配的。而附近小學的數量則能決定家中孩子是否可以順利就近就學。
ASR一公裏內的政府小學有排名蠻高的聖嬰女校(客洛)(CHIJ Primary School,Kellock)和拉丁馬士小學(Radin Mas Primary School),我兒子就在Radin Mas,女兒明年也要去,幸好是混校。附近的中學包括聖嬰德蘭中學(CHIJ Saint Theresa’s Convent)、歐南中學(Outram Secondary School)、達善中學(Gan Eng Seng Secondary School)。
看曆年考試成績排名,我之前其實挺驚訝Chij Kellock居然排14位,知道我兒子告訴我他們K2班英文最好的Alicia和另外一個經常玩的女朋友去了Chij,今年我女也有不少同學瞄准了那個女校,我才去差了一下,其實去年的小六考試成績也比Radin Mas要好,應該是男生貪玩女生讀書乖的原因。
除了中小學,公寓旁邊還有杜克-新加坡國立大學醫學院(Duke-NUS Graduate Medical School),再遠一點就是新加坡營銷學院(Marketing Institute of Singapore)。此外,一公裏範圍內還有一間國際學校Shelton College International。
可見,南峰雅苑附近的教育資源可以滿足各年齡層居民的要求,而附近的衆多小學也讓外國買家有機會讓自己的孩子進入政府小學就讀。
4. ASR開發商UOL花絮
需要說明的是,市建局在2013年的發展總規劃中已把南部瀕水地區劃作商業及住宅地帶的長遠重新開發,涵蓋生活、工作與娛樂的元素。不過,當時並沒有公布任何細節。
盡管如此,UOL的CEO Liam表示,該集團看到了一個“超前”的機會,即根據政府土地出售(GLS)計劃,競標面積245,975平方英尺的石叻道地塊。該公司是唯一的競標者,並在18年5月以$10.35億即容積率每平方英尺$1,138的價格中標。
UOL對具有增長潛力的地塊有著敏銳的眼光。在2000年代,它改造了Novena和Tiong Bahru的街區,推出了1 Moulmein Rise、Novena Suites和Newton Suits In Novena等項目,以及位于Tiong Bahru的The Regency、Tiong Bahru的Twin Regency and Regency Suites。開發商認爲,Avenue South Residence擁有同樣的潛力來複制這種成功。
該地塊的開發量有望達到1,125套公寓。然而,爲了保持專屬權,項目決定只建造1,074套公寓。
項目沒有提供頂層公寓,而是決定“犧牲”頂層的四個單位,以打造The Cloud ——四個主題功能廳,提供可一覽城市天際線的開闊視野。該項目將擁有超過80多個設施,包括第36層的天空球場(Sky Court)、毗鄰鐵道走廊的庇護所俱樂部(Sanctuary Clubhouse)和美食俱樂部 (Gourmet Club)。
南峰雅苑(Avenue South Residence)的所有單元均鋪設大理石地板和專爲公寓設計的臥室木地板。
公寓采用De Dietrich廚房用具(Gaggenau for Peak)、漢斯格雅(Hansgrohe)和Duravit的衛浴設施(Laufen for Peak),讓整個單元豪華化、品牌化、人性化、舒適化。
除了靠近GSW和鐵道走廊,該項目也靠近占地43公頃 的SGH醫學院,毗鄰亞逸拉惹高速公路(Ayer Rajah Expressway)、中央高速 (Central Expressway)、濱海高速(Marina Coastal Expressway)等主要高速公路。
到歐南園(Outram Park)地鐵站也僅有很短的步行距離,預計在2021年湯姆森-東海岸線第三階段開通後,這個地鐵站將成爲三條地鐵線路的交彙處,它目前只服務于東北線和東西線。當環線第6階段于2025年完成時,在Avenue South Residence也將開通Cantonment和吉寶地鐵站。
5. ASR價格及戶型
一臥室,套內面積49平方米(527平方尺)、S$970,000元(Horizon)和S$1,195,000(Peak)元起。特點是戶型方方正正,餐廳、客廳和廚房整合在一起,無浪費空間,臥室配備衣櫃,並有一個大小合適的陽台。
這樣的戶型非常適合夫妻情侶享受二人世界,也很適合專業人士和學生。
除了自住,也適合出租給高端專業人士。
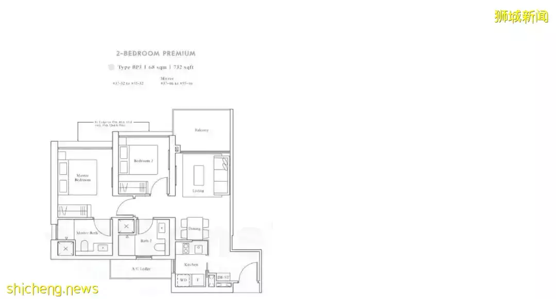
二臥室,套內面積61-68平方米(657–743平方尺),整套售價從S$1,190,000元(Horizon)和S$1,474,000(Peak)元起。特點是戶型方方正正,餐廳、客廳和廚房整合在一起,布局合理,無浪費空間。二臥室單元配備1給全封閉式陽台。主臥室可放置King Size的大床,配備衣櫃,普通房也可放置雙人床。
這樣的戶型非常適合有個小孩的夫妻,以及專業人士和學生,也適合喜歡與父母同住的年輕夫婦。除了自住,也適合出租給相應的高端專業人士。
值得提起的是,68平米的單位有明廚明衛,廚房和廁所都有窗戶,而且廚房是封閉式的。
三臥室,套內面積88-103平方米(947–1109平方尺)。整套售價從S$1,700,000元(Horizon)和S$2,064,000(Peak)元起。三臥室擁有非常好的景觀和視野,讓人心曠神怡,特別是位于高層的Peak套房。共同特點是,戶型方方正正,主臥室可放置King Size的大床,配備內置衣櫃,其余兩間普通房也可放置雙人床。擁有私人電梯。廚房、餐廳與客廳相對獨立。有些3臥室配備2個開發式陽台,而又些3臥室配備全封閉式陽台。這種房型特別適合有2個小孩的夫妻,以及專業人士和學生,或出租給相關高端專業人士。
四臥室,套內面積139平方米(1,496平方尺)。整套售價從S$2,265,000元(Horizon)和S$3,216,000(Peak)元起。四臥室戶型方方正正,所有房間均配備內置衣櫃。廚房相對獨立,幹濕廚房完全分開,還有儲藏間,餐廳與客廳共享空間,並配備陽台。擁有私人電梯並配備私人候梯室。主人房可放置King Size的大床,並配備陽台,其余三間普通房也可放置雙人床。三間普通房中有一間是准主人房,擁有獨立的衛生間。
這種房型特別適合有二三個小孩的夫妻,或與父母同住的家庭以及出租給相關高端專業人士。
我覺得ASR的三房戶型最好,口說無憑,我前年也入手了一間3房,stack 27和41都是大三房,兩個同一樓層價格都一樣,我如何選擇呢,其實有5個判斷依據:分別是日照風向,朝向風景,大牌數字,郵編號碼,有沒消聲器等,當然背靠後山也是要考慮的,欲知道詳情可以跟我私下聯系。
6. 總結:
南峰雅苑(Avenue South Residence)位于RCR區,是RCR區中最靠近市區的地段,享受CCR區的待遇。公寓位于南部瀕水地區的門口,是未來新中央商業區前哨,是南部瀕水區前的首個大型私宅項目;公寓又位于鐵道走廊旁邊,成爲走廊重新發展的一部分。作爲一個56層樓高,高出海平面200米的雙塔建築,加上獨特的結合大自然傑作,必將成爲附近的新地標























































