好消息不斷!
昨天,中國駐新加坡大使館終于公布了最新回國流程,一下子4個手續流程全部取消!
張文宏也帶來好消息!
中國首個國産新冠口服藥VV116的 “治療報告”公布:
奧密克戎感染者,只要在確診陽性5天內使用該口服藥,核酸轉陰時間爲8.56天!比實驗的對照組11.13天還要縮短2-3天。
這個結果經過同行審評,發表在了《Emerging Microbes & Infections》:
“VV116 是一種安全、有效的口服抗病毒藥物,在奧密克戎感染的早期表現出更好的表現。”
這將意味著什麽?
揭秘首個國産新冠口服藥VV116 “中國何時打開國門?”
咱們先來揭開這款國産新冠口服藥VV116的神秘面紗。
1)背景強大 中國首個國産新冠口服藥VV116,由中國科學院上海藥物研究所等研究所與企業合作研發。
臨床研究由國家傳染病醫學中心、複旦大學附屬華山醫院感染科主任張文宏教授,以及上海公共衛生臨床中心範小紅教授團隊等合作開展。
開發跟臨床都由行業大佬經手,可以說VV116“背景強大”。
圖源:財經
2)在烏茲別克斯坦獲批用于新冠,中國獲批臨床試驗(已有結果)
VV116口服藥,在去年年底就已獲得烏茲別克斯坦衛生部的緊急批准使用授權,用來治療新冠病毒。 據相關人士透露,VV116在當地的售價爲185美元,折合人民幣約1243元。
按照實時彙率,烏茲別克斯坦的售價相當于255.13新元。
烏茲別克斯坦批准使用那會,國內才進入臨床試驗。而現在,VV116的研究結果也出爐了。
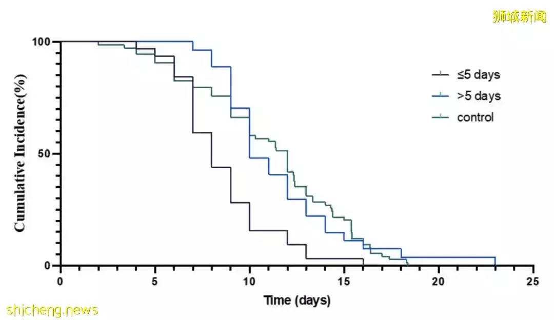
3)VV116需在奧密克戎陽性5天內服用,轉陰時間大大縮短 這次研究對象包括136個新冠感染者,患者將按自己的意願分成2個組別。
其中60人接受國産新冠口服藥VV116治療,每12小時口服300毫克VV116; 76名被納入對照組不使用抗病毒治療。
結果顯示,核酸陽性5天內服用VV116的人,核酸轉陰時間僅需8.56天。
而對照組,不適用抗病毒治療,需要11.13天。
但如果超出5天服用,則效果不明顯。分別爲11.46跟11.13天。
所以,VV116的使用關鍵就在于需要在核酸陽性5天內使用,可以大大縮短感染時間。
4)VV116的使用安全數據
據這次研究結果,服用VV116的人不存在嚴重不良事件。 不過,有7人報告出現輕度肝功能異常、1個報告血尿素升高、1個是白細胞計數升高。
但上述9人都在沒有進行幹預的情況下緩解和恢複。
5)VV116對新冠變異毒株有用
VV116是小分子抗新冠病毒藥物,據稱對于新冠病毒的變異株也被證明同樣有效。
那麽,現在圍繞著VV116就有2個重點問題:
1)新加坡有沒有可能進口VV116藥物?
2)一旦VV116投入使用,對于推動邊境開放是否有幫助?
圖源:planetware
首先,咱們看第一點。
目前,新冠口服藥物,新加坡批准並且主要在用的是輝瑞口服藥(Paxlovid)。
這款藥物目前是免費、由醫生診斷使用。 但不知道什麽時候就要收費,且據早前消息,輝瑞這款口服藥真心不便宜,5天藥物療程,大約530美元(即720新元)。
如果VV116治療效果不弱于輝瑞,即便是按照烏茲別克斯坦的售價,255.13新。這個價位新加坡多數人也承擔得起。
所以,從這一點上看存在進口可能性。
第二點,VV116對中國開放邊境有幫助嗎?
相信大家對于他說的話還有印象
他對于中國何時能打開國門,曾強調三點:
1)把疫苗繼續打下去
2)新型疫苗研發起來
3)更重要的是加強藥物研發,這樣吃藥就管用。
而現在,回國流程正在逐步簡化,對于新冠的口服藥物也已研發出來,針對奧密克戎的疫苗也在研發進程中。
中國駐新加坡大使館通知: 最新回國流程來了!
今天中午,中國駐新加坡大使館發布最新通知。即日起,回國流程簡化,這些步驟全部取消:
1)取消行前第7天核酸檢測要求。
2)無論是否接種疫苗、接種疫苗種類,取消行前第2天血清(含IgM及N蛋白抗體)檢測要求。
3)取消《行前健康隔離和承諾書》和健康隔離准假、辭職證明要求。
4)在新下船回國船員,取消14天隔離和隔離前核酸檢測要求,與普通旅客執行同樣行前健康監測管理與檢測要求。
赴華航班的防控要求經調整後,最新規定如下:
行前7天健康隔離和監測
行前第2天核酸檢測
行前24小時內核酸檢測(完成此前步驟,申請藍色健康碼)
行前6小時機場ART檢測
*企業及臨時航班或包機人員等有其他規定的,按照相關規定執行。
最後,中國駐新加坡大使館還特別聲明:
這次調整是根據“疫情、病毒變異特點等因素”做出的安排。接下來,視疫情形勢跟境外輸入情況,使館也有可能進行“動態調整”。
這下子,相信小夥伴心中穩了。
過去這幾天,愛爾蘭、荷蘭、西班牙、丹麥、波蘭、墨爾本、阿聯、埃及、塞爾維亞、美國、英國、加拿大等多地中國駐外使館相繼發出通知。
終于輪到新加坡。
從這幾天的消息來看,今年松綁可能性似乎不小。
今年回國免隔離,大家有沒有一點點信心?









