Menu
快讀
  • 旅遊
  • 生活
    • 美食
    • 寵物
    • 養生
    • 親子
  • 娛樂
    • 動漫
  • 時尚
  • 社會
  • 探索
  • 故事
  • 科技
  • 軍事
  • 国际
快讀

媽媽沒穿旗袍,孩子沒補習,今年考上了!

2021 年 6 月 9 日 中国房产

Image|在微信中搜索小坡生活 小程序,查看新加坡生活分類信息|

編者按:今天是高考日,不僅是考生的“趕考日”,也是家長非常忐忑的一天。一名新加坡媽媽追憶了自己的陪考經曆,原文如下:

第一次知道送孩子上考場的媽媽要穿旗袍,寓意“旗開得勝”,是今年2月。

朋友J的兒子E要考AEIS,這是新加坡選拔外籍學生進入政府學校的考試。
那天是我和J在朋友家聚餐後一起打車離開,J說:“哎呀,忘了拿旗袍。”原來是E第二天就要考AEIS,朋友特意爲她准備了旗袍。

打車應用程序一時改不了路線,司機拒絕回頭,于是朋友叫了快遞把旗袍及時送到J家。

我對此笑笑表示理解,但並沒說什麽,結果第二天J並沒有穿旗袍:
“新加坡媽媽們好像不這麽做,也不是過年的,我怕到時候只有我穿太奇怪,就算了。”
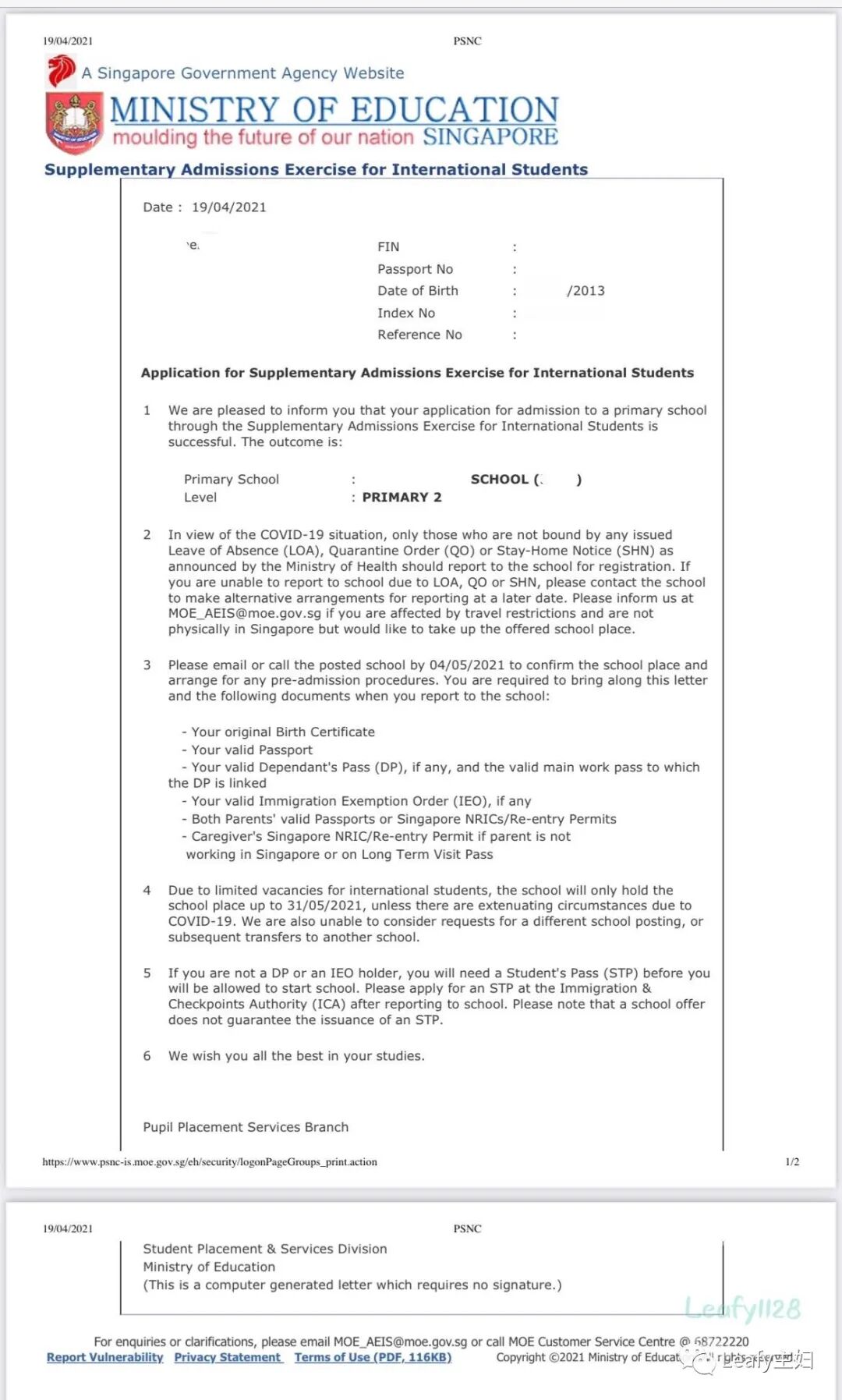
過了兩個月,AEIS放榜,E考上了。

Image

E的錄取通知書

01

還記得初識J和E,是在2018年的聖誕節前夕,我去幼兒園接芝麻放學,看到有個漂亮媽媽提著一大袋禮物,笑靥如花,見人就讓兒子遞上一份:“聖誕快樂!”

芝麻很高興地接過禮物:謝謝E!
我:原來這就是E,你說的新同學,彈琴比你好的那位男生。
E:芝麻這麽誇我嗎?J:原來你就是芝麻,E說你是他的小翻譯,一直幫他學英文。
那時候他倆才來新加坡幾個月,J不好意思地說:“E英文不好,我英文也不好, 還好在幼兒園有芝麻幫他。”

當時J就趕緊給E報了一周一次的英文補習班,希望他能早日融入新加坡的學習環境。
孩子的適應能力是很強的,“大概半年後,E就沒再上英文課外班了。”J說。

02

2020年1月,E和芝麻一樣,都上了小學,但因爲身份原因,他上的不是政府小學。
J很快就和我說:“小學和幼兒園太不一樣了!E懵了,我也懵了。”

原來,幼兒園畢竟是中英文一半一半的環境,一般總有會說華文的老師在,上課環境也比較閑散輕松。
可小學就開始正規一門一門上課了,除了華文課,別的科目都是用英文教學,數學老師找J約談,說E上課都在放空。

J也遇到了困難,和學校的交流等等也需要英文,收到的通知小到課程表,除了用翻譯軟件,還不時讓我翻譯確認一下。 
“他第一次考英文,100分滿分的卷子才考了11分啊。我的目標,就是他上課能聽懂!”
于是J決定要和E一起擴大英文單詞量。

她去書店問店員一年級的暢銷練習是哪些;平時和別的媽媽聊天,她也留意聽起來有效的書和方法。

03

一年級時E考了一次AEIS,沒過。

但年底的時候,E不僅考了全班前五名,還得了進步獎。
我也開心:“這麽明顯的進步,二年級應該考AEIS有把握了;就算沒考過,學習也已經上正軌了。”
J笑:“我很高興的是,這一年把E的學習習慣培養起來了。”
二年級第一次AEIS考試,2月考,4月出結果。
E不僅考過了,還分配到了一所不錯的學校,就在家附近。

“沒想到我這個學渣,也能陪孩子學習,考過了這麽重要的考試。”
J笑,然後認真地說:“AEIS放榜後,有好多文章看到最後都是在給補習班打廣告的,我看了就想,你的公衆號沒有廣告,E也沒有上補習班,我願意分享自己的經驗,也許並不適合所有人,但只要有人覺得有幫助,就好了。”

一式兩本與可擦筆
E的課外練習,J都是一買就買兩本的,一本寫自己名字,一本寫E的名字。
“我要先自己查字典和自學呀,不然當著他的面一起學,太浪費他的時間了。”

于是J常常在E睡著後,大晚上的在“備課”:“我以前自己上學時都沒這麽用功。”Image左邊是J的書,右邊是E的書,努力提升單詞量

考前一個月,J每天“備課”5頁的單詞單選題,等E放學後回來講給他聽。

J還買了可擦的圓珠筆,有時候就把整頁的答案包括自己標上去的注釋都擦掉,讓孩子重新做。

我心想鉛筆橡皮就可以呀,翻開J的書一看,她是用不同顔色的圓珠筆給孩子做標注呢,譬如黑筆是生詞,紅筆是動詞原形。

ImageJ真是從基礎一起學起,翻看能發現慢慢地,她標注的生詞在變少
傳統有效的背文章除了單詞和習題,J買了一本英文作文書,每天讓E背文章。
“我們小時候不都背課文嘛,背多了也就會寫了。”
J拿出書,每篇文章她都標注了日期和背誦情況:“小一的時候7月開始背,每天默寫一篇,突擊9月AEIS考試,考後就改爲兩天一篇,到今年考前,已經背了80篇。”

Image考過了AEIS,E也還保持學習和背誦作文的習慣
除了作文書上的文章,J也讓E多讀平時閱讀理解題的文章,睡前熟讀一遍又一遍:“至少也有45篇。”

J覺得這個辦法很有用:“我發現E現在很喜歡做看圖寫話的題,英文啊,一下子就能寫那麽多,我覺得好厲害呀。”
一周一休的時間表孩子在學校的時候,J會和我們喝喝早茶聊聊天,但孩子中午放學前肯定回家。

因爲她要帶著E,跟著自己制定的時間表走:

Image

J口述,我制表

只有每周六不用按照這個時間表,J經常帶著E,約上他的小夥伴一起快樂一整天。
而疫情嚴重時,就算不出門,周六也是E完全不學習的“純玩日”。

“我反而覺得因爲疫情,E可以更安心地呆在家裏好好學習。”J總是很樂觀和感恩。
Image現在放假,E還是每天一頁計算題完成了媽媽布置的學習任務後就能玩
J的經驗,僅供參考。
雖說芝麻不需要考AEIS,但兼聽則明。
比如熟讀甚至背誦好文章,這是無論哪門語言學習都可行的一個方法。

爲了備考,J帶著E在臥室關門學習。
臥室的床占了大部分空間,但是不影響他倆每天幾個小時的呆在裏面。
學習時,周圍就不要擺著可能分散注意力的東西,這點也是我認可的專注度。

ImageE的書桌上唯一的小恐龍也是橡皮而非玩具
ImageJ就坐在床台階上陪著E學習
而我真正喜歡的是:想清楚要什麽,有了明確的目標,就爲之堅持和努力這件事。
所以難得我對這位“雞娃”的媽媽是持肯定態度的。

J沒有在新加坡上成人英文課,但從剛來時一句英文都不敢開口說,到現在已經能自己帶著孩子去新學校報到啦!

這種共同進步的感覺,讓人看著都覺得好棒。
一起加油、繼續進步!
幕後:細心的讀者可能會發現,J和E早在我之前的文章裏就已出現。

Image

5月16日我發文後和J的對話:今天終于把這篇備考文章發了。
好容易考上了政府小學,去上學沒幾天,該校就爆出有學生確診新冠,于是J就帶著E被隔離了。

(文:菱葉兒 文章原載于微信公衆號Leafy主婦)

相關閱讀:

  • 孩子成績不理想?假期補習要趁早!優質培訓補習班都在這~

  • 從萊佛士初院到國大,一個中國女孩留學新加坡、7年轉公民的逆襲之路

  • 換一個跑道,成就更好 ——女兒求學新加坡之父親感悟

《新加坡眼》視頻號你關注了嗎?

點擊下面視頻,可以看到更豐富的內容!

或,直接搜”新加坡眼“也可以找到我們的視頻號~

固定布局                                                        
工具條上設置固定寬高
背景可以設置被包含
可以完美對齊背景圖和文字
以及制作自己的模

 — END —

跟進新加坡時事,點擊文末閱讀原文Read more小坡生活 | 房屋租售 | 二手閑置 | 求職招聘Image

Image

相關文章:

  • 媽媽沒穿旗袍,孩子沒補習,今年考上了
  • 全新衣櫃、洗手台、置物架、宜家床和床墊,低至3折,優質二手家具!
  • 新加坡優質培訓班彙總!包括AEIS、中文EMBA、英語、鋼琴、舞蹈班等
  • 實木家具、名牌包包、運動鞋、三星手機……全新好物好價!
  • 新加坡哪裏能找到會計、投資、理財等服務?這些專業機構都能幫到你!
  • 電子産品低價出售!iPhone手機、PS4遊戲機、打印機等20新幣起
旅遊

發佈留言 取消回覆

發佈留言必須填寫的電子郵件地址不會公開。 必填欄位標示為 *

©2026 快讀 | 服務協議 | DMCA | 聯繫我們